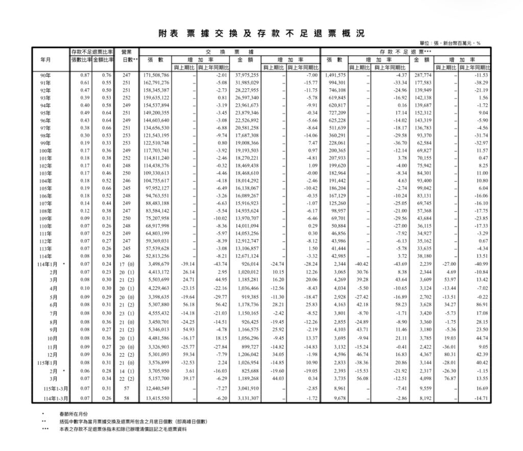
一、3月票據交換張數為515萬7,700張,較2月增加39.17%,票據交換金額為1兆1,893億元,較2月增加44.03%,主要係3月較2月增加8個營業日及1個月底峰日1,致票據交換張數及金額均增加(詳附表)。
二、3月存款不足毛退票張數共計3,735張,占票據交換張數之比率為0.07%,較2月略增0.01個百分點;存款不足毛退票金額41億元,占票據交換金額之比率為0.34% ,較2月增加0.06個百分點,主要係3月大戶2退票增加所致。
三、3月公司戶退票張數占全體退票張數之比重較2月增加0.11個百分點,公司戶退票金額占全體退票金額之比重較2月減少13.82個百分點;個人戶則呈反向同幅度變動。
註:1.交換票據通常在月底達到最高峰,俗稱月底峰日;3月有2個月底峰日,2月則有1個月底峰日。
2.大戶係指每戶退票金額達1億元以上者。

