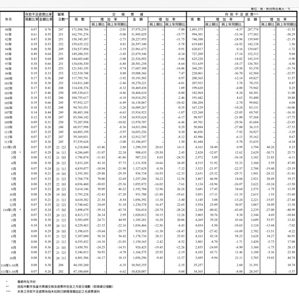
一、10月票據交換張數為448萬1,586張,較9月減少16.17%,票據交換金額為1兆563億元,較9月減少9.45%,主要係10月較9月減少1個營業日及1個月底峰日1,致票據交換張數及金額均減少 (詳附表)。
二、10月存款不足毛退票張數共計3,695張,占票據交換張數之比率為0.08%,與9月相當;存款不足毛退票金額38億元,占票據交換金額之比率為0.36% ,較9月增加0.09個百分點,主要係10月大戶2退票金額增加所致。
三、10月公司戶退票張數占全體退票張數之比重較9月減少1.30個百分點,公司戶退票金額占全體退票金額之比重較9月減少2.49個百分點;個人戶則呈反向同幅度變動。
註:1.交換票據通常在月底達到最高峰,俗稱月底峰日;10月有1個月底峰日,9月則有2個月底峰日。
2.大戶係指每戶退票金額達1億元以上者。
附 表 票 據 交 換 及 存 款 不 足 退 票 概 況

